Testing IAC...
Thread Starter
Supreme Member
iTrader: (8)
Joined: Aug 2003
Posts: 7,240
Likes: 6
From: LeRoy, NY
Car: 2003 Hyundai Tiburon GT
Engine: 2.7L V6
Transmission: 6-speed
Axle/Gears: 4.41
Testing IAC...
Can it be done? I've narrowed my cold start problem to a stuck-open IAC valve... I've replaced the valve with no change. Either when the terminals came out of the connector, I didn't put them back in the right holes, or there is another wiring problem I can't find... I'm going to go out and buy a new wiring harness connector soon and also need pinouts and troubleshooting diagrams if at all possible. Trickster, your help would be appreciated greatly here
.
. TGO Supporter
Joined: Sep 2003
Posts: 6,127
Likes: 12
From: conway, s.c.
Car: 1989 Iroc-Z
Engine: 5.7L TPI
Transmission: 700R4
Hello Maverick H1L,
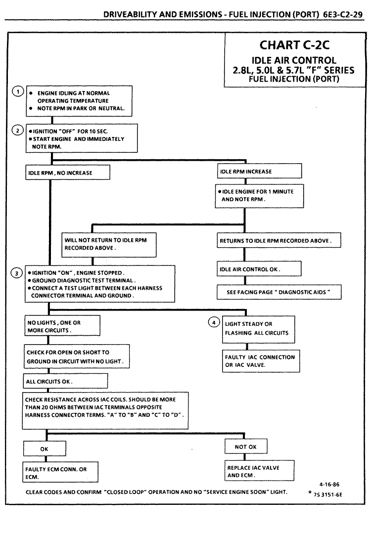
Haven't heard from you in awhile, how's life treating you other than this problem with the IAC? Would these little pictures help you any? I know it says 2.8L but the function is the same. BTW, they sell NOID lights for the IAC at most auto parts store for about $7 to $8.00 maybe less in some.
Haven't heard from you in awhile, how's life treating you other than this problem with the IAC? Would these little pictures help you any? I know it says 2.8L but the function is the same. BTW, they sell NOID lights for the IAC at most auto parts store for about $7 to $8.00 maybe less in some.
Thread Starter
Supreme Member
iTrader: (8)
Joined: Aug 2003
Posts: 7,240
Likes: 6
From: LeRoy, NY
Car: 2003 Hyundai Tiburon GT
Engine: 2.7L V6
Transmission: 6-speed
Axle/Gears: 4.41
Thanks a bunch, but I found the problem myself before you got back to me. I put in my "old" ECM (the one with a permanent code 54 and don't run without a good OPS) , and the thing works... Guess I have to hunt for another ECM...
Thread Starter
Supreme Member
iTrader: (8)
Joined: Aug 2003
Posts: 7,240
Likes: 6
From: LeRoy, NY
Car: 2003 Hyundai Tiburon GT
Engine: 2.7L V6
Transmission: 6-speed
Axle/Gears: 4.41
BTW, how would you rate A1 Cardone remanufactured ECMs? I have heard some people have a lot of problems with them, including that they corrupt the PROM in some cases
. I only need one long enough so that I can afford a GM remanufactured one, and I am not worried about a corrupt PROM since I have a spare that came with the ECM I am using now (the one with no IAC driver module)...
. I only need one long enough so that I can afford a GM remanufactured one, and I am not worried about a corrupt PROM since I have a spare that came with the ECM I am using now (the one with no IAC driver module)... Thread
Thread Starter
Forum
Replies
Last Post
RedLeader289
Tech / General Engine
10
May 28, 2019 01:47 PM





